事前計画 仕様

運転条件

  • 上記以外の条件で長時間運転すると、保護装置が働き、運転停止や故障の原因になります。
  • ユニット保護のため、降雪が予想される地域では、室外ユニットに防雪ダクト・風向チャンバー(別売品)、もしくは雪よけの屋根や囲いなどを必ず取り付けてください。

室外ユニット

種類 ―― 冷房・ヒートポンプ暖房兼用、分離形、空冷式(冷媒R32使用)

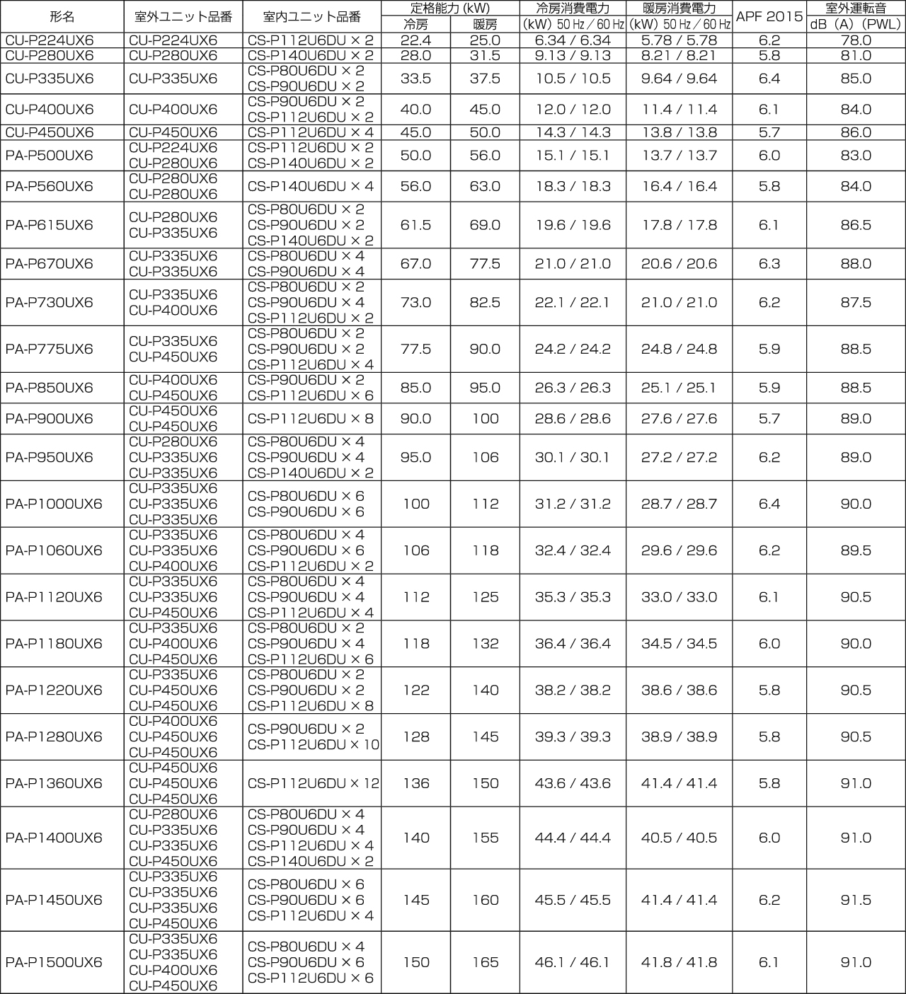
●高効率ビル用マルチ UX6

  • 性能・運転音(音響パワーレベル)はJIS B8616パッケージエアコンディショナに基づいた数値です。
  • 音圧レベルは、室外ユニット正面1m・高さ1.5mの値です。
  • 室外ユニット品番名末尾にJ が付く場合は耐重塩害仕様を示します。

組み合わせ仕様
(4方向天井カセット形(大容量タイプ)との組み合わせ)

エネルギーの使用の合理化に関する法律に基づく経済産業省告示第213号(平成21年)に定められた機種、区分名、冷暖房能力、消費電力、通年エネルギー消費効率(APF)を掲載しています。

室外:高効率ビル用マルチ UX6

4方向天井カセット形(大容量タイプ)との組み合わせ

  • この仕様値はJIS B8616パッケージエアコンディショナに基づいた数値です。APF2006、区分名はエネルギーの使用の合理化に関する法律に基づく経済産業省告示第213号(平成21年)による表示です。
  • 室外ユニット品番末尾にJが付く場合は耐重塩害仕様を示します。
  • この仕様値は、ナノイーXをオフにした時のものです。

区分名

上表は、エネルギーの使用の合理化に関する法律に基づく経済産業省告示第213号(平成21年)による区分名を示す。

JIS B8616、JRA-4002に関する表示事項

種類 ―― 冷房・ヒートポンプ暖房兼用、分離形、空冷式(冷媒R32使用)

●既設配管対応高効率ビル用マルチ UX6 組み合わせ仕様(4方向天井カセット形(大容量タイプ)との組み合わせ)

  • この仕様値は、JIS B8616パッケージエアコンディショナ、JRA-4002パッケージエアコンディショナに基づいた数値です。
  • 室外ユニット品番末尾にJが付く場合は耐重塩害仕様を示します。
  • PWL:音響パワーレベル
  • この仕様値は、ナノイーXをオフにした時のものです。